Evaluare Națioanală 2019 – Subiectele la matematică primite de elevii clasei a VIII-a au avut o dificultate medie și sunt mai ușor de rezolvat decât cele pe care le-au primit la simularea examenului, consideră profesoara de matematică Roxana Goga de la Colegiul “Sfântul Sava”.
Evaluare Națională 2019. Subiectele la matematică au constat într-o piramidă cu baza patrulater regulat la geometrie şi mai multe ecuaţii. La subiectul mare s-a dat trapez Isoscel cu 3 itemi de rezolvat.
Primele rezultate de la Evaluarea Naţională vor fi afişate pe 25 iunie şi tot atunci se vor putea face contestaţii, potrivit stirileprotv.ro.
Evaluare Națională 2019 subiecte matematică:


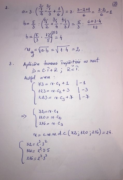
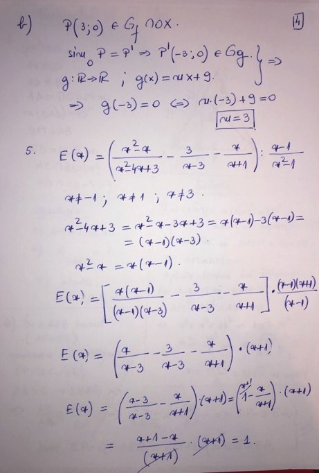
Evaluare Națională 2019 subiecte matematică. Iată mai jos Rezolvarea subiectelor la matematică la Evaluare națională 2019:




Sursă: Hotnews.ro
Evaluare Națională 2019 – Calendar
18 iunie – Evaluare Națională la Limba și literatura română – probă scrisă
20 iunie – Evaluare Națională la Matematica – probă scrisă 21 iunie – Evaluare Națională la Limba și literatura maternă – probă scrisă
25 iunie – Afișarea rezultatelor înaintea contestațiilor (până la ora 12:00)
25 iunie – Depunerea contestațiilor (orele 14:00 – 20:00)
26-28 iunie – Soluționarea contestațiilor
29 iunie – Afișarea rezultatelor finale după soluționarea contestațiilor



